Intel第12世代Core CPU『Alder Lake』がEOLに。製造終了プロセスを開始

Intelは、第12世代Core 12000シリーズデスクトップCPUとなるコードネーム『Alder Lake』の製造終了・販売終了プロセスを開始したことを発表しました。
製造終了・販売終了となるのは、Core i9-12900KやCore i7-12700Kなどの第12世代Core i3 / i5 / i7 / i9 / Celeron / PentiumデスクトップCPU。
トレイ版(OEM向けのCPUのみのバルク)および、リテールボックス版(小売店に出回っているパッケージ製品)の両方が対象となります。この製造終了・販売終了プロセスは、2026年1月6日(現地時間)より開始されました。
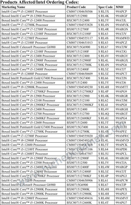
対象となる具体的なモデルは以下。

Alder Lake
End of Life (EOL)対象製品
最終受注日は2026年7月24日までとし、最終出荷日は2027年1月22日とのこと。これ以降、Intelからこれらの製品は出荷されなくなります。なお、Core i9-12900KSだけに関しては、すでに製造終了・販売終了しています。
第12世代Core / Alder LakeデスクトップCPUは、2021年11月の発売からしばらく経って、長方形の形状とソケットLGA1700中央にかかる圧力により、CPUが物理的に曲がるという問題が指摘されていました。その後、ThermalrightやThermal Grizzlyなど、さまざまなサードパーティメーカーからCPU反り防止フレーム(CPU曲げ防止フレーム)が発売されることになりました。




























